Association of waist-calf circumference ratio with frailty by Fried Frailty Phenotype questionnaire in older adults from Japan
Abstract
Objective. The waist circumference (WC) to calf circumference (CC) ratio (WCR), a measure of visceral fat, was calculated from WC and CC, measures of abdominal obesity and skeletal muscle mass, respectively.
In this study, we investigated the relationship of WCR with pre-frailty and frailty using the Fried Frailty Phenotype Questionnaire (FFPQ).
Methods. A total of 175 community-dwelling older adults in Wakasa-cho, Kaminaka-Mikata-gun, Fukui Prefecture, Japan were included in this study. Frailty was determined by the FFPQ scores, with those
who scored 0, 1-2, and ≥ 3 on the FFPQ being considered robust, pre-frailty, and frailty, respectively.
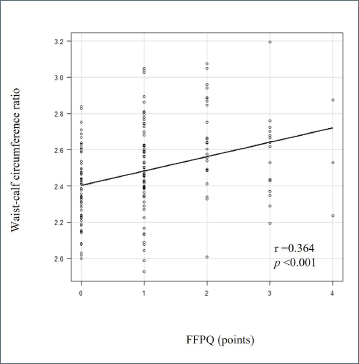
Results. Pre-frailty and frailty were diagnosed in 90 (51.4%) and 18 (10.3%) patients, respectively, using the FFPQ (p = 0.001). CC was not significantly different between the groups (p = 0.415). WCR was significantly higher in the pre-frailty and frailty groups than in the robust group (p < 0.001). The FFPQ scores were significantly positively correlated with WCR (r = 0.364, p < 0.001). Pre-frailty and frailty diagnosed by FFPQ were analysed in relation to WCR, WC, and CC by ordinal logistic regression analysis, which showed that WCR and CC were associated with pre-frailty and frailty after adjustment (WCR: odds ratio (OR) 5.72, 95% confidence interval (CI) 1.43-23.70, p = 0.015; CC: OR 0.81, 95% CI 0.69-0.94, p = 0.006).
Conclusions. This study investigated the association of WCR with prefrailty and frailty diagnosed using the FFPQ in community-dwelling older adults. High abdominal fat and low lower leg muscle mass were significantly associated with frailty and WCR during the pre-frailty stage.
INTRODUCTION
Frailty is a condition characterised by the breakdown of homeostasis and physiological reserve functions in response to various stresses. The prevalence of frailty among community-dwelling older adults in Japan was 7.4% 1. Frailty is considered a risk factor for increased mortality, falls, and functional disability 2,3. Identifying risk factors for frailty is therefore crucial in developing effective interventions aimed at preventing and treating frailty.
Weight loss due to malnutrition is a risk for frailty 4,5. On the contrary, obesity with weight gain is another risk factor for frailty, and Jayanama et al. have reported that frailty is more common with ≥ 25 kg/m2 body mass index (BMI) 6. However, body composition changes in older adults as they age, and they lose muscle mass and lean body mass and gain body fat mass 7. Therefore, the diagnosis of frailty may be missed based on BMI alone, which is the ratio of weight to height, as weight changes in older adults with reduced muscle mass and increased body fat mass are subtle 7. In addition, the waist circumference (WC) in frailty is an indicator of abdominal obesity, and increased WC is associated with frailty onset 8. Calf circumference (CC) is also used as a measure of skeletal muscle mass and an indicator of sarcopenia by the Asian Working Group for Sarcopenia 2019, with a significantly lower Frailty Index (FI) with increasing CC in community-dwelling older adults aged ≥ 80 years 9,10.
The WC/CC ratio (WCR), calculated by dividing the WC, a measure of abdominal obesity, by the CC, a measure of muscle mass, is an emerging indicator of the imbalance between body fat mass and skeletal muscle mass 11. WCR is associated with carotid atherosclerosis and health-related quality of life 12,13. However, studies focusing on frailty and WCR are scarce.
Frailty has many measures, with Fried Frailty Phenotype (FFP) and FI being the most widely used 14. Diagnosis is not easy, as FFP requires objective measures of grip strength and walking speed, while FI requires information from the Comprehensive Geriatric Assessment. Therefore, the FFP Questionnaire (FFPQ) was developed, which consists of five components: fatigue, resistance, gait, inactivity, and weight loss. It assesses frailty using only questions without measuring physical functions, such as walking speed. The FFPQ is valid, reliable, and has a high diagnostic accuracy 15. However, the link between the FFPQ and WCR is unclear.
This study investigated whether WCR was associated with pre-frailty and frailty diagnosed using the FFPQ in community-dwelling older adults in Japan.
METHODS
Older adults in Wakasa-cho, Mikata-Kaminaka-gun, Fukui Prefecture, Japan were examined between July 2022 and December 2023. A total of 184 older adults living in the area who participated in screening were included in this study. The analysis included 175 participants after excluding three candidates who did not complete the FFPQ, one candidate whose grip strength was not measured, three candidates whose WC was not measured, and two candidates whose CC was not measured.
After written informed consent was obtained from the participants, a medical examination consisting of basic interviews, blood pressure measurements, and physical function measurements (grip strength, height, weight, 5 times chair stand test, upper arm circumference, lower leg circumference, and waist circumference) was performed. The test results were then explained to the participants. Basic interviews were conducted to ascertain age, sex, medical history (diabetes mellitus, hypertension, dyslipidaemia, chronic kidney disease, heart disease, osteoporosis, and stroke), and lifestyle (smoking, drinking alcohol, and living alone).
Upper arm circumference was measured while the participant was seated. A mark was placed at the midpoint of the upper arm (between the acromion and elbow head) when the elbow was bent to 90°. The measurer then wrapped the tape measure around the marked midpoint, with the participant’s arms hanging naturally. CC was measured with the participant seated with the knees and ankles bent at 90°. The measurer moved up and down to maximise the horizontal distance between the calves. The upper arm circumference and CC were measured in centimetres to one decimal place on the non-dominant hand side. The WC was measured at the lower navel using a measuring tape. The WCR was calculated by dividing WC (cm) by CC (cm).
The FFPQ consists of five questions on fatigue, resistance, gait, inactivity, weight loss, and frailty, and pre-frailty is determined by scores on a 5-point scale. The participants were classified as robust, pre-frailty, or frailty according to their FFPQ scores 15. Those with scores of 0, 1-2, and ≥ 3 on the FFPQ were considered robust, pre-frailty, and frailty, respectively.
All statistical data were analysed using EZR ver. 1.68 (Saitama Medical Center, Jichi Medical University, Japan 16. Continuous variables were expressed as mean ± standard deviation. Categorical variables were expressed as total numbers (%). Fisher’s exact test was used for categorical variables, the Kruskal-Wallis test for continuous variables, and Bonferroni’s multiple comparisons for post-hoc tests. Significance of the test was determined at < 5% risk rate. Spearman’s rank-order correlation was used to obtain correlation coefficients. To examine the association between frailty using the FFPQ and WCR, ordinal logistic regression analysis of prefrailty and frailty using the FFPQ was performed as the objective variable. Odds ratios (ORs) and 95% confidence intervals (CIs) were calculated using age, sex, BMI, smoking status, drinking alcohol, and living alone as adjustment factors. The proportional odds assumption in the ordinal logistic regression model was evaluated using the Brant’s test. The coefficient estimates for each predictor were compared across ordinal thresholds. The results of the Brant’s test indicated no significant violations of the proportional odds assumption for any covariate (p > 0.05), thereby confirming the appropriateness of applying the ordinal logistic regression model in this analysis.
RESULTS
The target population consisted of 175 community-dwelling older adults living in Wakasa-cho, Mikata-Kaminaka-gun, Fukui Prefecture, Japan. Among them, 90 (51.4%) and 18 (10.3%) were diagnosed with pre-frailty and frailty by FFPQ, respectively (Tab. I). The WC in the participants with pre-frailty was significantly higher than in the robust participants (p = 0.001); however, the CC was not different between the groups (p = 0.415). Moreover, the WCR in the participants with pre-frailty and frailty was significantly higher than in the robust participants (p < 0.001) (Tab. II). The FFPQ scores and WCR were significantly positively correlated (r = 0.364, p < 0.001) (Tab. III). Pre-frailty and frailty diagnosed using the FFPQ were analysed for associations with WCR, WC, and CC using ordinal logistic regression analysis. Ordinal logistic regression analysis showed that WCR and CC were associated with pre-frailty and frailty after adjusting for various factors (WCR: ORs 5.72, 95% CIs 1.43-23.70, p = 0.015; CC: ORs 0.81, 95% CIs 0.69-0.94, p = 0.006) (Tab. IV).
DISCUSSION
In this study, we investigated the association of WCR with pre-frailty and frailty diagnosed using the FFPQ in community-dwelling older adults. Our study found that WCR was significantly associated with prefrailty. In addition, the results of the ordinal logistic regression analysis showed that WCR and CC were associated with prefrailty and frailty after factor adjustment.
This study confirmed that WCR was associated with the pre-frailty stage than WC alone. Previous reports have also shown that people with high BMI and normal WC were not associated with the risk of pre-frailty or frailty, but those with normal BMI and high WC were associated with pre-frailty and frailty 8. Body composition of older inpatients with frailty is characterised by low skeletal muscle mass and body weight, high body fat mass, and long WC 17. Thus, measuring body composition such as fat mass and lean body mass with a body composition analyser, rather than body weight or BMI, may be useful in detecting frailty in older adults, but incorporating this method into the field is difficult as it is expensive. The WCR reflects visceral fat in the abdominal circumference and muscle mass around the lower legs and can be measured using only a tape measure; its use in the diagnosis of frailty may contribute to the spread of frailty.
Older adults with increased body fat and decreased muscle mass may develop skeletal muscle disorders owing to the presence of ectopic fat. Increased visceral fat increases fat within the skeletal muscles, which is strongly inversely correlated with walking speed, Short Physical Performance Battery score, and grip strength 18,19. WC is an indicator of visceral fat, and inflammation due to increased visceral fat may induce insulin resistance, leading to decreased muscle mass and strength 20.
Visceral fat accumulation induces a state of chronic inflammation by promoting the secretion of pro-inflammatory cytokines such as interleukin-6 and tumour necrosis factor-alpha, which in turn exacerbates insulin resistance and enhances muscle protein catabolism, ultimately leading to muscle atrophy 21. Calf muscle mass is a critical indicator directly linked to lower limb support and walking ability, and age-related muscle loss significantly reduces physical reserve capacity 22. Consequently, functional impairments in daily living activities become pronounced, increasing physical frailty 23. These factors provide a physiological rationale supporting the utility of the WCR as an early indicator of frailty. As WCR may increase with increased WC, increased visceral fat may contribute to frailty, leading to skeletal muscle damage via inflammation and increased skeletal muscle fat.
In this study, the adjusted ordinal logistic regression analysis showed that WCR and CC, but not WC, were associated with prefrailty and frailty. CC is a measure of skeletal muscle mass and often used to diagnose sarcopenia 9. Xu et al. reported that frailty by FI was associated with CC, with the best cut-off values being 29.5 cm for males and 28.5 cm for females 24. CC was also associated with pre-frailty and frailty in this study, as reported in previous studies. WC is associated with frailty; however, in this study, it was significantly associated in unadjusted ordinal logistic regression analysis, but not significantly after adjustment 8. The use of different diagnostic methods in this study compared to previous reports may explain the discrepancies in our findings 8,25,26. In addition, the sample size of this study was small (175 participants), and future prospective large-scale studies are needed.
Obesity is a known risk factor for frailty. In a Japanese study of 3,958,708 participants, obesity and metabolic syndrome were independent risk factors for frailty among middle-aged and older Japanese adults 27. Overweight and obesity were also associated with frailty in a study of 599 older females in the United States of America 28. Since muscle weakness is also a risk factor for frailty, WCR, which combines WC as an indicator of abdominal obesity and CC as an indicator of skeletal muscle mass, is effective in detecting frailty in individuals who are obese or overweight. In addition, the WCR may be a useful screening tool for frailty, especially in countries with a high prevalence of obesity and overweight 29.
This study has several limitations. It employed a cross-sectional design, and therefore cannot establish a causal relationship between WCR and frailty. Specifically, two possibilities must be considered: frailty progression may lead to muscle atrophy, reducing CC and subsequently increasing WCR; conversely, a high WCR may promote muscle mass loss and a decline in physical function, thereby accelerating frailty. To elucidate these bidirectional effects, longitudinal studies that track changes in body composition and physical function over time are essential. Future research should aim to verify the causal relationship between WCR dynamics and frailty through prospective cohort studies incorporating regular anthropometric measurements and frailty assessments. Second, frailty can only be diagnosed using the FFPQ and whether other methods of frailty assessment would yield similar results is unclear. In future, the usefulness of WCR should be examined using a comprehensive frailty assessment method. A study by Chen et al. on the FFPQ in Japanese older adults have reported that it has 33.3% sensitivity, 99.2% specificity, and 0.42 kappa coefficient using a cut-off score of 3 points compared with the Fried Frailty Phenotype, indicating moderate agreement and high specificity 15. However, the FFPQ is a self-reported questionnaire, and items such as weight loss and difficulty walking may be subject to bias owing to subjective judgment and recall inaccuracies. In older adults, cognitive decline and differences in health awareness affect the accuracy of self-reported data. The FFPQ includes an item for responding to weight loss; since weight gain is associated with increased WC, those who responded to the weight loss item may be a confounding factor for WCR and frailty. In this study, WC and CC were measured by multiple assessors, which may have introduced inter-rater variability. Anthropometric measurements are particularly susceptible to differences in technical proficiency and measurement conditions, and discrepancies between evaluators may have influenced the results. Furthermore, the prevalence of diabetes differed significantly between the groups (p = 0.028). Diabetes is closely associated with sarcopenia and visceral fat accumulation, and may act as a confounding factor in the relationship between WCR and frailty 30,31. Sensitivity analysis using a multivariate model including diabetes eliminated the statistical significance of WCR. This suggests that diabetes may function as a confounding variable affecting both WCR and frailty and highlights the need to consider WCR as a potential indicator of the influence of metabolic disorders. Future studies should construct models that systematically adjust for major comorbidities including diabetes to validate the independent predictive value of WCR. Sensitivity analysis including physical performance indicators such as handgrip strength and chair stand test was also conducted. In this model, the association between WCR and frailty was no longer statistically significant (WCR: ORs 2.83, 95% CIs 0.67-12.3, p = 0.16). This result suggests that muscle strength and physical function are strongly associated with both WCR and frailty, and that the effect of WCR may be indirectly mediated through these physical function indicators. In other words, WCR may function not as an independent determinant, but rather as a proxy reflecting declines in muscle strength and physical performance. Future studies should explore the mediating and interaction effects between WCR and physical function indicators to elucidate a more refined causal structure. This study targeted older adults residing in the rural areas of Fukui Prefecture, comprising a geographically and ethnically homogeneous population. Therefore, the cut-off values for WCR and its association with frailty derived from this cohort may have limited generalisability to populations living in urban settings or under different lifestyle conditions. A study by Bhat et al. reported significant differences in muscle mass, grip strength, and physical function between urban and rural populations in Western India, with the prevalence of sarcopenia being more than twice as high in rural areas 32. These findings suggest that regional differences in nutritional status, physical activity, and access to healthcare may influence body composition and frailty risk. Future research should aim to validate the utility and generalisability of WCR through multicentre collaborative studies involving older adults from both urban and areas of diverse geographic regions.
CONCLUSIONS
In this study, we investigated the association of WCR with pre-frailty and frailty diagnosed using the FFPQ in community-dwelling older adults. Our study found that WCR was significantly associated with pre-frailty. Frailty is difficult to detect in older adults using BMI or weight because their body composition changes in a different way compared to younger adults.
Acknowledgements
We thank all the medical staff (doctors, nurses, public health nurses, dietitians, occupational therapists, physical therapists, clinical technologists, and radiology technologists), office staff, and students for their cooperation in this study. We thank Kazue Fujita, Kumiko Ito, Yuka Nakamura, Noriko Sadakane, and Satoko Hirose for their administrative, preparatory, and technical support. We thank Editage () for English language editing.
Conflict of interest statement
Osamu Yamamura receives remuneration from Xenera Corporation. Hidenori Onishi has signed nondisclosure agreements with Nice Metz Corporation, Macnica Corporation, and Xenera Corporation. The other authors declare that they have no conflicts of interest to disclose.
Funding
This research was supported by the University of Fukui Reinan Community Co-creation Project “RCCP” Fund for FY2022-2024.
Author contributions
YN, HO, OY: contributed significantly to study conceptualisation, contributed significantly to data analysis, contributed to manuscript preparation; YN, HO, RI, YM, MK, TO, HT, TI, HW, DH, FM, YN, KM, HO, TT, NK, MI, OY: contributed significantly to interpretation. All authors critically reviewed and revised the manuscript, and approved and submitted the final version.
Ethical consideration
This study was approved by the University of Fukui Medical Research Ethics Review Committee (Approval No. 20220046). All researchers involved in this study complied with the “Ethical Guidelines for Medical and Biological Research Involving Human Subjects” (Ministry of Education, Culture, Sports, Science and Technology; Ministry of Health, Labour and Welfare; and Ministry of Economy, Trade and Industry Notification No. 23, 1 March 2021). All participants were provided with verbal and written explanations regarding the purpose and methodology of the study as well as the handling of personal information. Written informed consent was obtained after ensuring that the participants had sufficient understanding of the study.
History
Received: January 18, 2025
Accepted: September 26, 2025
Figures and tables
Figure 1.Correlation between Fried frailty phenotype questionnaire (FFPQ) and waist-calf circumference (n = 175).
| Robust | Pre-frailty | Frailty | |||
|---|---|---|---|---|---|
| 67 | 90 | 18 | P-value | ||
| Age (year) | 73.73 ± 5.97 | 76.09 ± 6.20 | 78.33 ± 5.90* | 0.006 | |
| Sex (%) | |||||
| Female | 44 (65.7) | 51 (56.7) | 10 (55.6) | 0.481 | |
| Male | 23 (34.3) | 39 (43.3) | 8 (44.4) | ||
| Body mass index (kg/m2) | 21.51 ± 2.75 | 23.00 ± 2.95* | 23.36 ± 4.37 | 0.004 | |
| Smoking (%) | 3 (4.5) | 6 (6.7) | 3 (16.7) | 0.191 | |
| Drinking alcohol (%) | 19 (28.4) | 26 (28.9) | 5 (27.8) | 0.994 | |
| Living alone (%) | 5 (7.8) | 15 (16.7) | 4 (22.2) | 0.166 | |
| Disease (%) | |||||
| Diabetes mellitus | 4(6.0) | 19 (21.3)* | 3 (16.7) | 0.028 | |
| Hypertension | 31 (46.3) | 56 (62.2) | 10 (55.6) | 0.138 | |
| Dyslipidaemia | 17 (25.4) | 25 (28.1) | 5 (27.8) | 0.928 | |
| Heart disease | 3 (4.5) | 12 (13.3) | 2 (11.1) | 0.176 | |
| Chronic kidney disease | 1 (1.5) | 0 (0.0) | 1 (5.6) | 0.124 | |
| Stroke | 1 (1.5) | 5 (5.6) | 0 (0.0) | 0.263 | |
| FFPQ (points) | 0.00 ± 0.00 | 1.30 ± 0.46* | 3.17 ± 0.38*¶ | < 0.001 | |
| FFPQ: Fried frailty phenotype questionnaire p < 0.05 *vs Robust vs pre-frailty. | |||||
| Robust | Pre-frailty | Frailty | Post-hoc | ||||
|---|---|---|---|---|---|---|---|
| 67 | 90 | 18 | Robust vs pre-frailty p value | Robust vs frailty p value | Pre-frailty vs frailty p value | p value | |
| Arm circumference (cm) | 26.56 ± 2.69 | 27.60 ± 2.83 | 27.08 ± 3.15 | 0.064 | 0.726 | 1.000 | 0.060 |
| Waist circumference (cm) | 80.69 ± 9.82 | 85.76 ± 9.07* | 85.62 ± 12.80 | 0.001 | 0.606 | 1.000 | 0.001 |
| Calf circumference (cm) | 33.87 ± 2.85 | 33.88 ± 3.27 | 33.29 ± 3.24 | 1.000 | 0.630 | 0.630 | 0.415 |
| Waist-calf circumference ratio | 2.38 ± 0.20 | 2.54 ± 0.25* | 2.57 ± 0.25* | < 0.001 | 0.012 | 1.000 | < 0.001 |
| Maximum handgrip strength (kg) | 31.30 ± 8.77 | 30.21 ± 8.16 | 25.68 ± 6.44* | 1.000 | 0.028 | 0.082 | 0.036 |
| 5 times chair stand test (second) | 7.49 ± 1.66 | 7.93 ± 2.20 | 9.02 ± 3.40 | 1.000 | 0.430 | 1.000 | 0.359 |
| p < 0.05 *vs robust. | |||||||
| Unadjusted model | Adjusted model | |||||||
|---|---|---|---|---|---|---|---|---|
| 95% CI | 95% CI | |||||||
| Odds ratio | Under | Upper | p value | Odds ratio | Under | Upper | p value | |
| Waist-calf circumference ratio | 12.70 | 3.78 | 44.90 | < 0.001 | 5.72 | 1.43 | 23.70 | 0.015 |
| Waist circumference | 1.05 | 1.02 | 1.08 | 0.002 | 1.02 | 0.96 | 1.08 | 0.485 |
| Calf circumference | 0.98 | 0.89 | 1.07 | 0.669 | 0.81 | 0.69 | 0.94 | 0.006 |
| CI confidence interval | ||||||||
| The multivariate model was adjusted for age, sex, body mass index, smoking status, drinking alcohol, and living alone. | ||||||||
References
- Kojima G, Iliffe S, Taniguchi Y. Prevalence of frailty in Japan: a systematic review and meta-analysis. J Epidemiol. 2017; 27:347-353. DOI
- Peng Y, Zhong GC, Zhou X. Frailty and risks of all-cause and cause-specific death in community-dwelling adults: a systematic review and meta-analysis. BMC Geriatr. 2022; 22:725. DOI
- Makizako H, Shimada H, Doi T. Impact of physical frailty on disability in community-dwelling older adults: a prospective cohort study. BMJ Open. 2015; 5:E008462. DOI
- Fried LP, Tangen CM, Walston J. Frailty in older adults: evidence for a phenotype. J Gerontol A Biol Sci Med Sci. 2001; 56:M146-M156. DOI
- Liang H, Li X, Lin X. The correlation between nutrition and frailty and the receiver operating characteristic curve of different nutritional indexes for frailty. BMC Geriatr. 2021; 21:619. DOI
- Jayanama K, Theou O, Godin J. Relationship of body mass index with frailty and all-cause mortality among middle-aged and older adults. BMC Med. 2022; 20:404. DOI
- Genton L, Karsegard VL, Chevalley T. Body composition changes over 9 years in healthy elderly subjects and impact of physical activity. Clin Nutr. 2011; 30:436-442. DOI
- Uchai S, Andersen LF, Hopstock LA. Body mass index, waist circumference and pre-frailty/frailty: the Tromsø study 1994-2016. BMJ Open. 2023; 13:E065707. DOI
- Chen LK, Woo J, Assantachai P. Asian Working Group for Sarcopenia: 2019 consensus update on sarcopenia diagnosis and treatment. J Am Med Dir Assoc. 2020; 21:300-307.e2. DOI
- Landi F, Onder G, Russo A. Calf circumference, frailty and physical performance among older adults living in the community. Clin Nutr. 2014; 33:539-544. DOI
- Güner M, Öztürk Y, Ceylan S. Evaluation of waist-to-calf ratio as a diagnostic tool for sarcopenic obesity: a cross-sectional study from a geriatric outpatient clinic. Eur Geriatr Med. 2024; 15:1469-1475. DOI
- Rao HA, Harischandra P, Yadav S. Correlation of waist to calf circumference ratio and carotid intima-media thickness in diabetes mellitus. Curr Diabetes Rev. 2021; 17:387-393. DOI
- Yang S, Liu M, Wang S. Waist-calf circumference ratio is an independent risk factor of HRQoL in centenarians. Diabetes Metab Syndr Obes. 2020; 13:277-287. DOI
- Deng Y, Sato N. Global frailty screening tools: Review and application of frailty screening tools from 2001 to 2023. Intractable Rare Dis Res. 2024; 13:1-11. DOI
- Chen S, Chen T, Kishimoto H. Development of a fried frailty phenotype questionnaire for use in screening community-dwelling older adults. J Am Med Dir Assoc. 2020; 21:272-276.e1. DOI
- Kanda Y. Investigation of the freely available easy-to-use software ‘EZR’ for medical statistics. Bone Marrow Transplant. 2013; 48:452-458. DOI
- Xu L, Zhang J, Shen S. Association between body composition and frailty in elder inpatients. Clin Interv Aging. 2020; 15:313-320. DOI
- Idoate F, Cadore EL, Casas-Herrero A. Adipose tissue compartments, muscle mass, muscle fat infiltration, and coronary calcium in institutionalized frail nonagenarians. Eur Radiol. 2015; 25:2163-2175. DOI
- Justice JN, Gregory H, Tchkonia T. Cellular senescence biomarker p16INK4a+ cell burden in thigh adipose is associated with poor physical function in older women. J Gerontol A Biol Sci Med Sci. 2018; 73:939-945. DOI
- Buchmann N, Fielitz J, Spira D. Muscle mass and inflammation in older adults: impact of the metabolic syndrome. Gerontology. 2022; 68:989-998. DOI
- Wu H, Ballantyne CM. Skeletal muscle inflammation and insulin resistance in obesity. J Clin Invest. 2017; 127:43-54. DOI
- Díaz Villegas GM, Runzer Colmenares F. Relación entre circunferencia de la pantorrilla y velocidad de la marcha en pacientes adultos mayores en Lima, Perú [Calf circumference and its association with gait speed in elderly participants at Peruvian Naval Medical Center]. Rev Esp Geriatr Gerontol. 2015; 50:22-25. DOI
- Bolaji OF, Santos LP, Gonzalez MC. Longitudinal changes in calf circumference and health outcomes among community-dwelling older adults in southern Brazil. Nutrition. 2025; 139:112849. DOI
- Xu KY, Wang JJ, Chen J. Calf circumference predicts frailty in older adults: the Chinese longitudinal healthy longevity survey. BMC Geriatr. 2022; 22:936. DOI
- Liao Q, Zheng Z, Xiu S. Waist circumference is a better predictor of risk for frailty than BMI in the community-dwelling elderly in Beijing. Aging Clin Exp Res. 2018; 30:1319-1325. DOI
- Afonso C, Sousa-Santos AR, Santos A. Frailty status is related to general and abdominal obesity in older adults. Nutr Res. 2021; 85:21-30. DOI
- Nishida Y, Yamada Y, Sasaki S. Effect of overweight/obesity and metabolic syndrome on frailty in middle-aged and older Japanese adults. Obes Sci Pract. 2023; 10:E714. DOI
- Blaum CS, Xue QL, Michelon E. The association between obesity and the frailty syndrome in older women: the Women’s Health and Aging Studies. J Am Geriatr Soc. 2005; 53:927-934. DOI
- Stevens GA, Singh GM, Lu Y. National, regional, and global trends in adult overweight and obesity prevalences. Popul Health Metr. 2012; 10:22. DOI
- Li B, Li Y, Zhang Y. Visceral fat obesity correlates with frailty in middle-aged and older adults. Diabetes Metab Syndr Obes. 2022; 15:2877-2884. DOI
- Sato M, Tamura Y, Murao Y. Coexistence of high visceral fat area and sarcopenia is associated with atherosclerotic markers in old-old patients with diabetes: a cross-sectional study. J Diabetes Investig. 2024; 15:1510-1518. DOI
- Bhat G, Ireland A, Shah N. Prevalence and factors associated with sarcopenia among urban and rural Indian adults in middle age: a cross-sectional study from Western India. PLOS Glob Public Health. 2024; 4:E0003553. DOI
Affiliations
License
Copyright
© JOURNAL OF GERONTOLOGY AND GERIATRICS , 2025
How to Cite
- Abstract viewed - 1102 times
- PDF downloaded - 70 times

